Читать книгу 📗 "Как постепенно дошли люди до настоящей арифметики [без таблиц] - Беллюстин Всеволод Константинович"
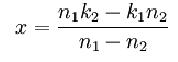
Сущность фальшиваго правила лучше всего объясняется алгебраически. Возьмемъ одно уравненіе первой степени съ однимъ неизвѣстнымъ: ax+b = 0. Примемъ x равнымъ произвольному количеству k1; подставивъ k1 вмѣсто х, пусть мы получимъ во второй части вмѣсто нуля т1, такъ что ak1 + b = n1 т.-е. ошибка оказалась во второй части на n1. Дадимъ иксу другое произвольное значеніе k2, и пусть вторая часть обратится въ n2, такъ-что ошибка второй части уравненія будетъ n2. Теперь мы получимъ такую систему:
![Как постепенно дошли люди до настоящей арифметики [без таблиц] - i_118.jpg](/uploads/posts/books/texts/litmir/283586/122337/1333222809/i_118.jpg)
![Как постепенно дошли люди до настоящей арифметики [без таблиц] - i_119.jpg](/uploads/posts/books/texts/litmir/283586/122337/1333222809/i_119.jpg)
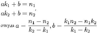
то образуется слѣдующее выраженіе для неизвѣстнаго:
![Как постепенно дошли люди до настоящей арифметики [без таблиц] - i_120.jpg](/uploads/posts/books/texts/litmir/283586/122337/1333222809/i_120.jpg)
Изъ этой формулы выходитъ: n1x- n2x= n1k2- n2k1, или n1(x-k2)=n2(x-k1) откуда получается пропорція: n1: n2=(х-k1) : (х-k2), т. е. ошибки неизвѣстныхъ пропорціональны ошибкамъ уравненій. Этой пропорціей и устанавливается связь между фальшивымъ правиломъ и способомъ пропорцій.
Фальшивое правило вводилось во всѣ учебники ариѳметики до начала 19-го вѣка и считалось необходимой ихъ частью и однимі изъ самыхъ важныхъ отдѣловъ. Оно встрѣчается, между прочимъ, въ ариѳметикѣ Безу, переведенной на русскій языкъ В. Загорскимъ въ 1806 году. Въ настоящее время это правило совершенно исключено изъ ариѳметическаго курса, и его нигдѣ найти нельзя. Двѣ причинь содѣйствовали его исключенію. Во-первыхъ, выводъ его можетъ быті сдѣланъ только алгебраически и, слѣдовательно, въ ариѳметикѣ онъ не можетъ быть объясненъ ученикамъ и требуетъ отъ нихъ прямого заучиванія; во вторыхъ, никакой учебникъ не разграничивалъ, какія задачи можно рѣшать фальшивымъ правиломъ, и какихъ нельзя имі рѣшать; а, между тѣмъ, это существенно важно, потому что, еслі примѣнить правило къ тому, къ чему оно непримѣнимо, то выйдетъ конечно, одно печальное недоразумѣніе. На самомъ дѣлѣ это правило можетъ имѣть силу только для тѣхъ задачъ, гдѣ вся задача сводится къ умноженіямъ и дѣленіямъ неизвѣстнаго.
Прочія правила: смѣшенiя, дѣвичье и другiя.
Правило смѣшенія было въ употребленіи, очевидно, очень давно, такъ какъ потребности въ смѣшеніи лѣкарствъ и какихъ - нибудь составовъ, а также въ сплавленіи металловъ имѣли мѣсто еще въ древнемъ мірѣ. Формулы смѣшенія были найдены, вѣроятно, отчасти путемъ опыта, отчасти алгебраическими выкладками; потомъ онѣ были перенесены въ ариѳметику, запоминались учениками и примѣнялись къ рѣшенію задачъ.
Леонардо Фибонначи въ ХIII в. даетъ такіе пріемы, которые надо признать совершенно механическими; и вся забота ѳго направлена только къ тому, чтобы расположить данныя числа какъ слѣдуетъ; задачи у него раздѣляются на 2 вида, тѣхъ самыхъ, какіе сейчасъ и у насъ: въ первомъ видѣ узнается, какого достоинства выйдегъ смѣсь, если извѣстно количество смѣшиваемыхъ веществъ и ихъ достоинство; въ второмъ видѣ надо опредѣлить, сколько слѣдуетъ взять каждаго вещества, чтобы получить смѣсь такого достоинства, какое требуетса. У Леонардо встрѣчаются задачи на смѣшеніе нѣсколькихъ сортовъ, и есть примѣры болѣе отвлеченнаго характера, въ такомъ родѣ: «Стоимость 30, количество 30, стоимость единицы— 3, 2, ½ рѣшеніе: I:III =1 : 4, II : III = 1 : 2, положимъ на I съ III всего 15 единицъ, изъ нихъ 3 на I, 12 на III; на II съ III кладемъ тоже 15 единицъ, изъ которыхъ 5 на II, и 10 на III; всего тогда получится на I=3, на II=5 и на III =22». Эта задача, какъ видно, неопредѣленная.
Въ 15—16 вѣкѣ задачи на смѣшеніе рѣшались нѣсколько иначе, чѣмъ мы ихъ рѣшаемъ; онѣ приводились къ тройному правилу, и для каждаго неизвѣстнаго составлялась отдѣльная строка, отдѣльная пропорція.
Въ русскихъ учебникахъ XVII вѣка правилу смѣшенія соотвѣтствовала «статья о нечисти во всякихъ овощахъ и въ товарехъ», въ ней говорилось о смѣшеніи чистаго товара съ нечистымъ и о сплавѣ золота, серебра и мѣди. У Магницкаго статья «третья надесять» въ тройномъ правилѣ, подъ заглавіемъ «о соединеніи вещей», начинается прямо съ задачи, безъ всякаго предисловія и объясненія: «Нѣкій винопродавецъ имяше четыре разныя вины, ихъ же продаяше разною цѣною, по 10 алтынъ, по 8 алтынъ, по 6 алтынъ и по 5 алтынъ по 2 денги галенокъ, и хощетъ отъ тѣхъ разноцѣнныхъ винъ бочку наліяти въ 80 галенковъ, чтобы галенокъ былъ цѣною въ 6 алтынъ 4 денги, и вѣдательно есть, колико галенковъ котораго вина вліяти достоитъ во ону бочку, придетъ 16, 8, 16, 40. Зри како изобрѣтати:
![Как постепенно дошли люди до настоящей арифметики [без таблиц] - i_121.png](/uploads/posts/books/texts/litmir/283586/122337/1333222809/i_121.png)
![Как постепенно дошли люди до настоящей арифметики [без таблиц] - i_122.png](/uploads/posts/books/texts/litmir/283586/122337/1333222810/i_122.png)
По толику галенковъ таковыхъ разныхъ винъ въ бочкѣ оной вина его же цѣна по 20 коп. галенокъ»
Понятно, зачѣмъ Магницкій помѣщалъ задачи на смѣшеніе, и зачѣмъ онѣ были въ старинныхъ ариѳметикахъ: учебникъ считался тогда сборникомъ всевозможныхъ правилъ, пригодныхъ для разныхъ житейскихъ случаевъ, къ нему, какъ къ какому-нибудь справочнику, и обращались за указаніями и искали практическаго отвѣта. Теперь же техника и ремёсла, равно какъ и гражданская жизнь, настолько развились и расширились, что нечего и думать сообщить ученику запасъ предписаній на всевозможные житейскіе случаи. Кромѣ того, смѣшеніе примѣняется теперь не настолько часто, чтобы считать его употребительнымъ дѣйствіемъ и пріучать къ нему учениковъ и ученицъ изъ разныхъ классовъ общества и изъ разныхъ состояній. Такимъ образомъ, практическое значеніе правила смѣшенія можно считать въ настоящее время за нуль, особенно если имѣть ввиду задачи второго рода. Но и образовательное, развивающее его значеніе тоже очень не велико, потому что тѣ же задачи второго рода, по самой своей сущности, принадлежатъ алгебрѣ, съ большимъ удобствомъ и пониманіемъ рѣшаются въ ней, въ ариѳметикѣ же онѣ явдяются какимъ-то оторваннымъ кускомъ и потому не могутъ быть проработаны вполнѣ сознательно. Гораздо лучше было бы и для учениковъ и для науки, если бы задачи второго рода на смѣшеніе были отнесены къ алгебрѣ.
Дѣвичье правило. Оригинальное и странное названіе, получившееся оттого, что прежде (впрочемъ бываетъ это и теперь) задачи располагались и назывались не по способамъ ихъ рѣшенія, а по внѣшнему виду. Къ дѣвичьему правилу относились задачи, въ которыхъ говорилось о дѣвицахъ. Правда, всѣ онѣ въ cтарыхъ сборникахъ пріурочивались къ одному типу, именно къ отдѣлу неопредѣленныхъ задачъ. Типической задачей можеть служить слѣдующая, заимствованная изъ Адама Ризе, составившаго учебникъ въ XVI ст. «26 персонъ издержали вмѣстѣ 88 марокъ, при чемъ мужчина издерживалъ по 6 марокъ, женщина по 4 и дѣвушка по 2; сколько было мужчинъ, женщинъ и дѣвушекъ?» Адамъ Ризе учитъ рѣшать такимъ образомъ: пусть, говоритъ онъ, всѣ 26 персонъ были бы дѣвушки, тогда онѣ издержали бы 2.26=52 марки, слѣдовательно, остается 88 — 52 = 36 марокъ. Разложимъ теперь 36 на такія два слагаемыхъ, чтобы одно состояло изъ четверокъ, другое изъ паръ, напримѣръ, 8 четверокъ и + 2 пары, или 5 четверокъ + 8 паръ, или еще 2 четверки + 14 паръ; такое расположеніе удобно тѣмъ, что 32 марки въ первомъ случаѣ мы отнесемъ на долю мужчинъ и 4 марки на долю женщинъ и расчислимъ такъ: мужчина тратитъ больше дѣвушки на 4 марки, ихъ можно принять всего 8 человѣкъ, такъ какъ 32:4 = 8; женщина тратитъ больше дѣвушки на 2 марки, и женщинъ можно полагать 2, потому что 4: 2=2; слѣдовательно, получается въ отвѣтѣ 8 мужчинъ, которые заплатятъ вмѣстѣ 48 марокъ, 2 женщины—8 марокъ и 16 дѣвушекъ 32 марки, всего 88 марокъ. Другой рядъ отвѣтовъ можно бы получить, съ помощью этого же способа, такой: 5 мужч., 8 женщ. и 13 дѣвушекъ; и много другихъ рѣшеній, такъ какъ эта задача неопредѣленная.
Первая неопредѣленная задача на латинскомъ языкѣ изъ тѣхъ, которыя дошли до насъ, содержится въ сборникѣ Алькуина (въ VIII ст. по Р. X.) и выражается такъ: «100 шеффелей раздѣлить между мужчинами, женщинами и дѣтьми и дать при этомъ мужчинѣ по 3 шеффеля, женщинѣ по 2 и ребенку по ½ шефф.» Рѣшеніемъ этой задачи могло бы быть, напр., 24, 40 и 36; у Алькуина дано 11, 15, 74. Кромѣ названія «дѣвичье», это правило имѣло иногда титулъ «слѣпого» правила и опять по той же самой причинѣ, именно, что въ неопредѣлешшхъ задачахъ этого рода упоминалось о слѣпцахъ. Кстати скажемъ, что были и другія курьезныя правила, въ родѣ правила «крокодиловъ», правила «роговъ» и т. п., и назывались они по той своей особенности, что въ задачахъ, которыя являлись характеристичными, упоминалось про крокодидовъ, рога и т. д.
![Всеволод Беллюстин - Как постепенно дошли люди до настоящей арифметики [без таблиц] - Читать 📖 Читать онлайн 👀 Читаемые книги читать онлайн бесплатно 🔥 booksread-online.com](/uploads/posts/books/217231/217231.jpg) 
	